Herrnstein's Matching Law is a behavioral psychology principle, particularly within operant conditioning, which is also applicable to dog training. Initially formulated by Richard J. Herrnstein in 1961, the Matching Law describes how the rate of response by an individual (including animals like dogs) is proportionate to the rate of reinforcement received for those responses.
Understanding Herrnstein's Matching Law:
The Matching Law states that individuals (or animals) will distribute their behaviors in direct proportion to the rewards received for these behaviors. This means that the frequency of a specific behavior can be predicted based on the frequency of reinforcement delivered for that behavior compared to other available behaviors.
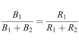
Formula of Matching Law:
The general formula can be expressed as:

Where:
- ( B1 ) and ( B2 ) are the rates of two different behaviors.
- ( R1 ) and ( R2 ) are the rates of reinforcement for those behaviors.
Implications in Dog Training:
In practical dog training contexts, Herrnstein's Matching Law can be observed in how dogs choose to behave based on which behaviors are most consistently rewarded. Trainers can use this understanding to influence a dog’s behavior effectively by adjusting the rates of reinforcement for desired and undesired behaviors.
Example Application:
- Behavior A: Sitting when requested.
- Behavior B: Jumping up on people.
- If sitting is rewarded with affection four times out of five (80% reinforcement), and jumping up is rewarded (intentionally or accidentally, such as with attention or petting) one time out of five (20% reinforcement), a dog will theoretically sit more often than jump because sitting has a higher reinforcement rate.
Practical Tips Using Matching Law:
- Consistent Reinforcement: Apply consistent and more frequent rewards for desired behaviors to increase their frequency.
- Differential Reinforcement: Apply less frequent reinforcement for less desired behaviors, or use non-reward or punishment strategies.
- Monitoring Reward Ratios: Be aware of unintentional reinforcements. Sometimes, pet owners inadvertently reinforce unwanted behaviors by reacting to them (e.g., yelling when a dog barks excessively can inadvertently reinforce the barking because the dog receives attention).
The Matching Law provides valuable insights into how reinforcement strategies can be planned and adjusted to mold a dog's behavior more predictively. It emphasizes the importance of understanding how different rates of reinforcement for different behaviors influence a dog’s behavior choice, making training more effective.
Responses